近日,91论坛 潮滩动力地貌研究团队博士生赵堃在国际权威期刊《Water Resource Research》(一区Top, 2018年影响因子4.36)上发表了题为“The role of collapsed bank soil on tidal channel evolution: A process-based model involving bank collapse and sediment dynamics”的学术论文,是继该团队在知名刊物《Geomorphology》发表岸壁坍塌对潮沟拓宽贡献研究后的又一突破。论文第一作者为91论坛 赵堃博士生,合作作者包括龚政教授、周曾教授、张长宽教授,以及华东师范大学徐凡博士、阿根廷海洋研究所G. M. E. Perillo教授和新西兰奥克兰大学Giovanni Coco副教授。
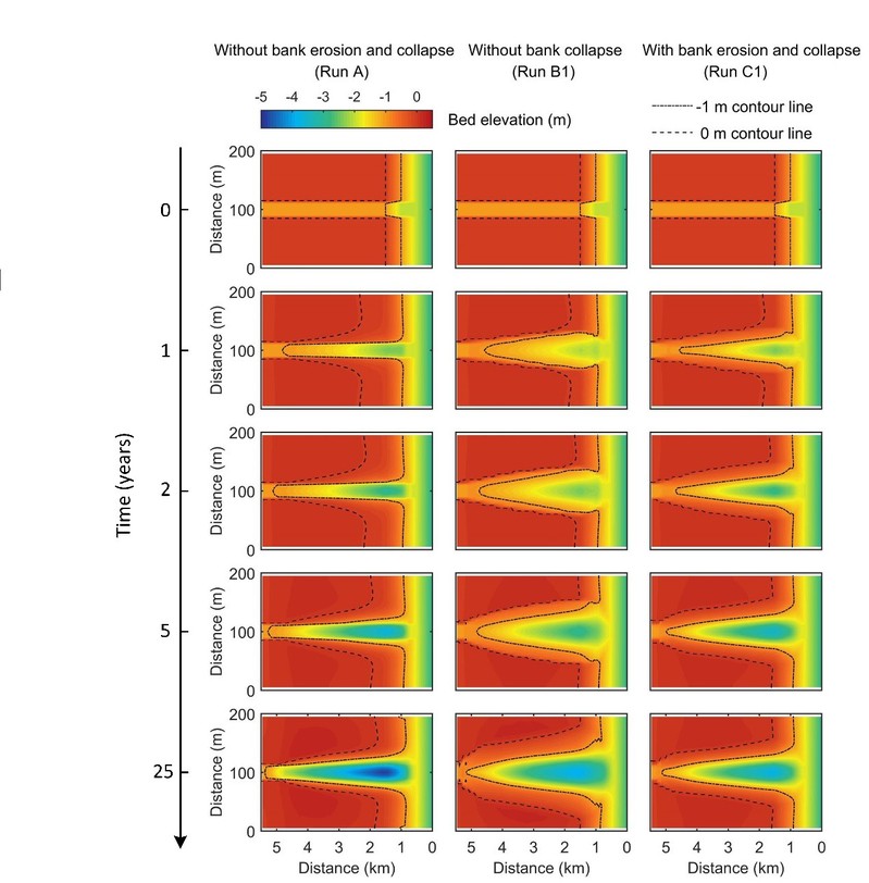
该研究围绕潮滩-潮沟系统演变机制,将潮沟边壁坍塌过程与传统水-沙-地貌过程耦合,探究了坍塌泥沙对潮沟平面、断面形态的影响。模型结果表明,由于坍塌泥沙的掩护效应,平衡时潮沟的宽度变小,断面形态也由凹形转变为凸形。本研究丰富了海岸动力学与泥沙运动力学,对海岸带资源与环境等交叉学科发展具有重要的意义。


图1 潮沟平面演变过程

图2 潮沟断面演变过程

